|
Fig. 1. Characterization of wdr5 expression. (A) Analysis of previously published RNA-Seq
data (York et al., 2024) shows wdr5 transcripts are abundant in the animal pole cells of the
blastula stages and differentially enriched in neural crest-induced animal caps at early and
late neurula stages. (p < 0.05) (B) Spatial and temporal expression of wdr5 shows that wdr5
transcripts are maternally provided, enriched in blastula stem cells and retained broadly
throughout the neuroectoderm into developing neural crest stem cells and neural crest
derivatives. (C) HCR-FISH confirms wdr5 expression in the neural crest that co-localizes with
myc – a canonical neural crest and pluripotency factor. Abbreviations: [[CTRL = control, NC =
neural crest]]
|
|
wdr5 (WD repeat domain 5) gene expression in X. laevis embryo, NF stage 6, assayed via in situ hybridization.
|
|
wdr5 (WD repeat domain 5) gene expression in X. laevis embryo, NF stage 9, assayed via in situ hybridization.
|
|
wdr5 (WD repeat domain 5) gene expression in X. laevis embryo, NF stage 11, assayed via in situ hybridization.
|
|
wdr5 (WD repeat domain 5) gene expression in X. laevis embryo, NF stage 15, assayed via in situ hybridization, anterior view, dorsal up.
|
|
wdr5 (WD repeat domain 5) gene expression in X. laevis embryo, NF stage 17, assayed via in situ hybridization, anterior view, dorsal up.
|
|
wdr5 (WD repeat domain 5) gene expression in X. laevis embryo, NF stage 29/30, assayed via in situ hybridization, lateral view, , anterior right, dorsal up.
|
|
Fig. 2. Morpholino-mediated knockdown shows that wdr5 is required for NC gene
expression. (A) Morpholino-mediated depletion of wdr5 inhibits neural crest factor
expression. (B) Expression of wdr5 mRNA rescues morpholino-mediated neural crest gene
expression. (C) Quantification of rescue percentage. (D) Morpholino-mediated depletion of
wdr5 prevents pluripotent blastula cells from being reprogrammed to neural crest state. (E)
Morpholino-mediated depletion of wdr5 does not inhibit expression of neural plate border and
neural plate factors. (F) Knockdown of wdr5 leads to an expansion of the neural plate factor
sox3 and loss of myc expression at neurula stages. Abbreviations [[MO = morpholino]]
|
|
Fig. 3. Overexpression of wdr5 exhibits concentration-dependent effects on neural
crest factor expression. (A) Exogenous wdr5 mRNA shows concentration dependent
effects on neural crest gene expression. (B) Increased wdr5 expression expands neural plate
border gene expression independent of mRNA concentration. (C) Exogenous wdr5 mRNA
exhibits expanded expression of myc expression and inhibition of six1 expression. (D)
Increased wdr5 expression inhibits expression of epidermal keratin factor krt12.4 and
expansion of the neural plate factor sox3 independent of mRNA concentration.
|
|
Fig. 4. myc and wdr5 interact directly to facilitate neural crest factor expression. (A)
wdr5 and myc directly interact at chromatin to influence downstream gene expression of myc
target genes. (B) Western blot of Co-IP shows that wdr5-FLAG and myc-Myc directly interact
in Xenopus embryos. (C) myc mRNA overexpression inhibits neural crest and neural plate
border gene expression. (D) Co- expression of wdr5 mRNA and myc mRNA facilitates neural
crest gene expression. (E) myc expression is required for wdr5-mediated neural crest
expansion. (F) myc mRNA inhibits neural crest and neural plate border gene expression
when wdr5 expression is downregulated.
|
|
Fig. 5. Mutations in conserved binding sites on wdr5 differentially affect neural crest
gene expression. (A) wdr5 function is primarily mediated through two-conserved and distinct
binding sites, the wdr5 binding motif (WBM), and the wdr5 interacting domain (WIN), both of
which can be disrupted by point mutations. (B) Western blot showcasing disruption of binding
of myc to wdr5-WBMV268 and wdr5-WBMN225A,L240K,V268E in Xenopus embryos. (C)
Western blot showcasing disruption of binding of hdac1 to wdr5-WINF133A in Xenopus
embryos. (D) wdr5-WBMV268 exhibits an expansion of neural crest gene expression when
expressed at levels that lead to loss of neural crest gene expression in wdr5 and wdr5-
WINF133A
. Overexpression of wdr5 and all resultant mutants expand neural plate border
factor expression. (E) wdr5 mutant overexpression differentially affects myc expression
compared to wildtype wdr5.
|
|
Fig. 6. Both wdr5 binding sites are required for the expression of neural crest genes.
(A) wdr5-WBMV268E overexpression fails to rescue neural crest expression in the absence
of endogenous wdr5 expression. (B) wdr5-WINF133A overexpression fails to rescue neural
crest expression in the absence of endogenous wdr5 expression.
|
|
Fig. 7. Myc downregulation expands neural crest expression via wdr5 mediated
mechanism. (A) Lower concentrations of myc morpholino expand neural crest factor
expression. (B) wdr5 is required for myc-morpholino mediated expansion of neural crest gene
expression.
Abbreviations [[NC = Neural Crest; NP = Neural Plate;
NPB = Neural Plate Border]]
|
|
Fig. 7. Myc downregulation expands neural crest expression via wdr5 mediated mechanism. [continued:] (C) Model depicting wdr5 and myc mediated regulation of the neural crest:
Normal NC formation (top), loss of NC and prolonged NP and NPB (middle), loss of NC and prolonged Myc expression (bottom).
Abbreviations [[NC = Neural Crest; NP = Neural Plate; NPB = Neural Plate Border]]
|
|
Fig. S1. (A) Percentage bar graph representing whole embryo phenotype counts for wdr5 MO injected
embryos. (B) Percentage bar graph representing phenotype counts for wdr5 MO in-jected neural crest
explants. (C) Percentage bar graph representing phenotype counts for wdr5 MO and wdr5 MO + wdr5
mRNA injected embryos. (D) Western blot depicting specificity of wdr5 morpholi-no. (E) Western blot
depicting expression of n-terminally FLAG-tagged wdr5 persists in the absence or presence of wdr5
morpholino. (F) Western blot of global levels of H3K4me3 compared to total H3 in control vs neural
crest caps, with and without wdr5 morpholino. (G) Quantification of global levels of H3K4me3 compared
to total H3 in control vs neural crest caps, with and without wdr5 morpholino. (Av-erage of 3 replicates.
n.s., p>0.05)
|
|
Fig. S2. (A) Percentage bar graph representing whole embryo phenotype counts for
wdr5 nFT injected embryos (low vs high dose). (B) Western blot and quantification of
difference in low vs high concentrations of wdr5-nFT mRNA.
|
|
Fig. S3. (A) Percentage bar graph representing whole embryo phenotype counts for myc-nMT injected
embryos. (B) Percentage bar graph representing whole embryo phenotype counts for myc nMT, wdr5 nFT, and
myc+wdr5 injected embryos. (C) Percentage bar graph representing whole embryo phenotype counts for wdr5
nFT, myc MO, and wdr5 nFT+myc MO injected embryos. (D) Percentage bar graph representing whole embryo
phenotype counts for myc nMT, wdr5 MO, and myc nMT+wdr5 MO injected embryos. (E) Western blot
depitcing equivalent expression of wdr5-FLAG and myc-Myc in single and co-injection conditions. (F) Western
blot depicting persistence of wdr5-FLAG expression in the presence and absence of myc morpholino. (G)
Western blot depicting persistence of myc-MYC expression in the presence and absence of wdr5 morpholino.
(H) High levels of wdr5 do not require myc expression to inhibit neural crest gene expression.
|
|
Fig. S4. (A) Percentage bar graph representing whole embryo phenotype counts for wdr5, wdr5-
WBMV268, and wdr5-WINF133A injected embryos. (B) Western blot showing equivalent expres-sion of
wdr5-WT, wdr5- WBMV268E, wdr5-WINF133A FLAG tag. (C) Co-IP binding analysis of myc+wdr5, wdr5-
WBMV268, wdr5-WBMN225A,L240K,V268E, or wdr5-WINF133A pulldown abundance. (D) Co-IP binding analy-sis
of myc+wdr5, wdr5-WBMV268, wdr5-WBMN225A,L240K,V268E, or wdr5-WINF133A pulldown abundance. (E)
Quantification of Co-IP binding analysis of myc+wdr5, wdr5-WBMV268, wdr5-WBMN225A,L240K,V268E, or
wdr5-WINF133A pulldown abundance(Average of 3 replicates). (F) Quantification of Co-IP binding
analysis of hdac1+wdr5, wdr5-WBMV268, or wdr5-WINF133A pulldown abundance (Average of 3
replicates).
|
|
Fig. S5. (A) Percentage bar graph representing whole embryo phenotype counts for wdr5 MO, wdr5 nFT,
wdr5-WBMV268E nFT,wdr5 MO+wdr5 nFT, and wdr5 MO+wdr5-WBMV268E injected embryos. (B) Percentage
bar graph representing whole embryo phenotype counts for wdr5 MO, wdr5 nFT, wdr5-WINF133A nFT,wdr5
MO+wdr5 nFT, and wdr5 MO+wdr5-WINF133A inject-ed embryos. (C) Western blot showing equivalent
expression of wdr5-WT and wdr5-WBMV268E in the absence of endogenous wdr5 expression. (D) Western
blot showing equivalent expression of wdr5-WT and wdr5-WINF133A in the absence of endogenous wdr5
expression.
|
|
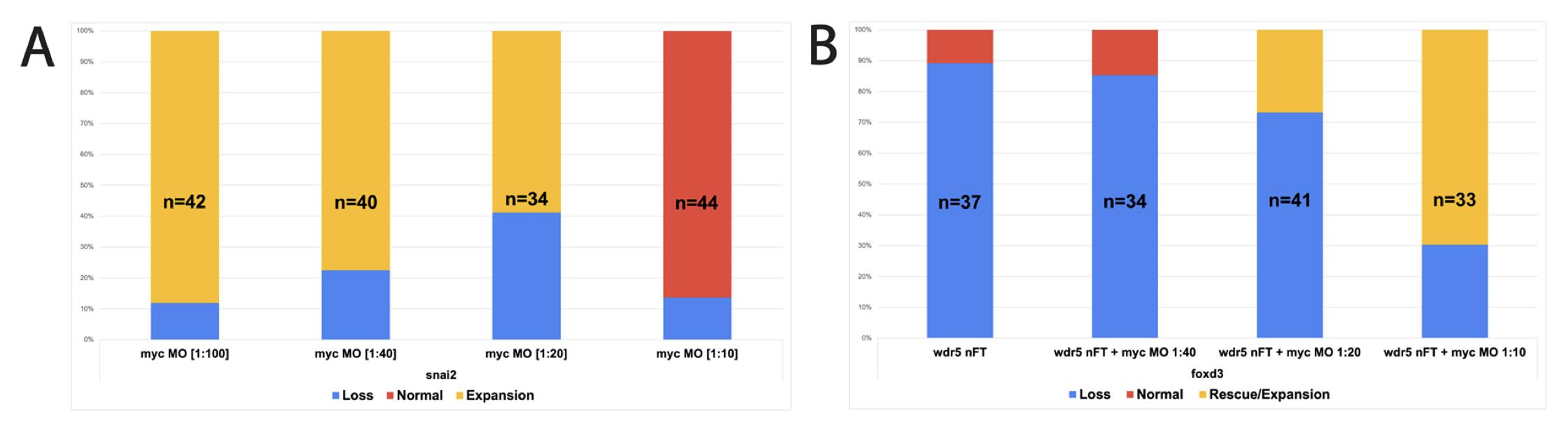
Fig. S6. (A) Percentage bar graph representing whole embryo phenotype counts for myc MO injected
embryos at varying concentrations. (B) Percentage bar graph representing whole embryo phenotype
counts for embryos injected with either wdr5 nFT, wdr5 nFT+myc MO at varying concentrations.
|