Click here to close
Hello! We notice that you are using Internet Explorer, which is not supported by Xenbase and may cause the site to display incorrectly.
We suggest using a current version of Chrome,
FireFox, or Safari.
???displayArticle.abstract???
The model species Xenopus laevis is an allotetraploid species, whose genome consists of two sub-genomes (the L and S sub-genomes) that were inherited from its parental species. Previous studies comparing the genome of X. laevis with other species of the genus revealed that the L sub-genome was more conserved than the S sub-genome suggesting it has been evolving under stronger purifying selection. However, it remains unclear if this difference reflects evolutionary processes that are still at play in extant populations. To answer this question, we conducted the first genome-wide survey of variation in this species by re-sequencing 44 individuals from its native South African range at ~ 10 × coverage. We generated a dataset of ~ 260M SNPs, which constitutes a valuable resource for the Xenopus community. We found that the South African populations of X. laevis are highly structured and differentiated, reflecting ancient divergence followed by more recent admixture at contact zones. We also determined that the landscapes of variation of the L and S sub-genomes do not show any significant differences suggesting that the two sub-genomes are responding to evolutionary forces in a similar manner. In particular we showed that purifying selection and positive selection are acting identically on the two sub-genomes, suggesting that the sub-genomes of X. laevis are evolving under similar selective pressure. Since 60% of the ancestral homeologous genes have been retained in X. laevis, this result suggests that the function of those genes is conserved on both sub-genomes or that a large number of genes has experienced neo- or sub-functionalization.
Fig. 1. Population structure of Xenopus laevis in South Africa. A- STRUCTURE analysis showing 4 main clusters (K = 4). Each vertical bar represents one individual, and the proportion of colour within each bar indicates the individual’s estimated ancestry to each genetic cluster. The left ladder marks the proportion scale. B- PCA of SNP data showing the first two principal components (PC1 and PC2), which accounts for 30.6% and 23.4% of the total genetic variation respectively. Each point represents an individual, and clustering patterns reflect genetic similarity. C- Maximum likelihood phylogeny. D- STRUCTURE analysis showing that the Great Karoo and south coastal populations are genetically distinct. E- PCA of SNP data based on the Great Karoo and south coastal populations showing PC1 and PC2, which accounts for 30% and 12.3% of the total genetic variation respectively. F- Proportion of fixed, shared and private SNPs among populations
Fig. 2. Geographic partitioning of genetic variation of Xenopus laevis in South Africa. A- Distribution of genetic variation based on nuclear SNPs. B- Distribution of mitochondrial clades. Numbers indicate the number of individuals from the same locality that harbour the same genetic composition
Fig. 3. Demographic reconstruction of the three main population using SMC + + (Niewoudville population and admixed individuals were excluded). The right side of the figure represents past population size and the left side indicates more recent population size. Ne = effective population size.
Fig. 4. Dated mitochondrial phylogeny. The Calibrated Bayesian tree of mitogenome sequences was set on the divergence between Silurana and Xenopus estimated based on molecular and fossil data to be around 36Mya (27-51Mya)
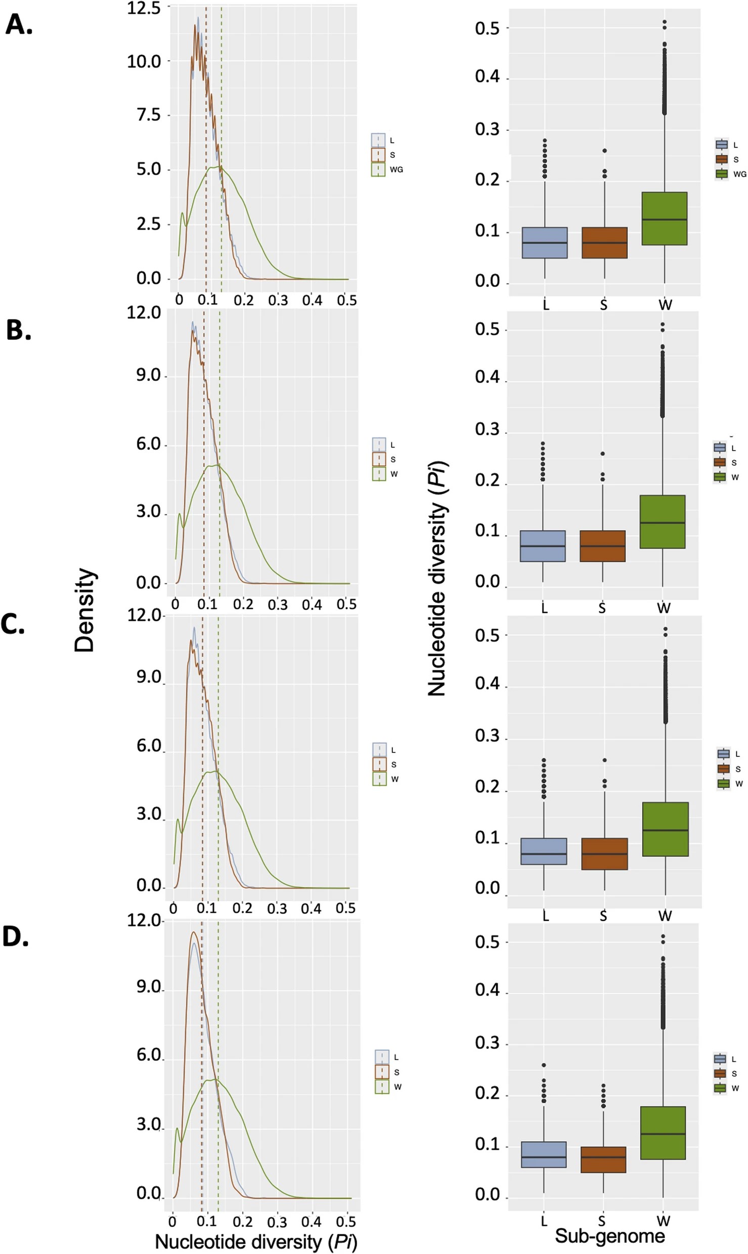
Fig. 5. Comparison of nucleotide diversity between the L and S sub-genomes around exons. The left side of each panel shows the density distribution of nucleotide diversity for exons located on the L and S sub-genomes as well as for the whole genome average (W). The right side shows the same data as boxplots. A- All exons combined. B- First exons. C- Last exons. D- Single exon genes. The listed colors in the vignettes are light blue for the L sub-genome, brown for the S sub-genome, and green for whole genome data
Fig. 6. Allele frequency spectra for variants classified by SNPEff as high, moderate or low effects. The data are from the south western Cape populations and includes only non-admixed individuals.